EXP:Bestimmung des Planckschen Wirkungsquantums mit LEDs
In diesem Experiment sollen die Größenordnung und der ungefähre Wert des Planck’schen Wirkungsquantums mit Hilfe von LEDs bestimmt werden. Dazu werden für die jeweiligen Dioden ihre Wellenlängen mit dem Spektrometer gemessen und ihre Schwellenspannungen aus den Kennlinien ermittelt. Vorteil dieser Methode ist der im Vergleich zur Gegenfeldmethode relativ einfache Versuchsaufbau.
Versuchsanleitung
Benötigtes Material
- Spannungsmessgerät
- Strommessgerät
- Steckboard
- Spannungsnetzgerät
- LED (verschiedene Farben, monochromatisch)
- Vorwiderstand
- Thorlabs Compact CCD Spektrometer CCS100
- Laptop
- Thorlabs Software für Optical Spectrum Analyzers (OSA) und Compact CCD Spectrometer
- Verschiedene Kabel
Versuchsaufbau
- Schritt 1
- Eine Diode wird mit dem Vorwiderstand auf dem Steckboard angebracht und an das Netzgerät angeschlossen.
- Schritt 2
- Das Strommessgerät wird in Reihe an die Diode angeschlossen, das Spannungsmessgerät parallel dazu.
- Schritt 3
- Das USB-Spektrometer wird an den Laptop angeschlossen und auf ein Stativ geschraubt.
Versuchsdurchführung
Die Spannung wird langsam aufgedreht, bis die Diode ganz leicht anfängt zu leuchten. Strom und Spannung werden notiert. Die angelegte Spannung wird in regelmäßigen Abständen erhöht und zusammen mit dem Strom notiert. Die Stromstärke hierbei immer im Blick haben, damit die LED nicht beschädigt wird – mit maximal 20 mA ist man auf der sicheren Seite.
Nachdem genügend Messwerte aufgenommen wurden, wird mit dem Spektrometer die Wellenlänge der LED bestimmt. Die Wellenlänge kann mit der Thorlabs Software direkt aus dem Spektrum oder mithilfe der Funktion „Peak“ ausgelesen werden.
Dieses Vorgehen folgt analog für die anderen beiden Leuchtdioden.
Auswertung
Graphische Auswertung
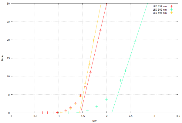
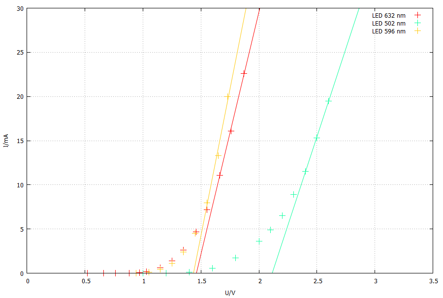
Rechts sind die Plots für die Kennlinien der Dioden zu sehen. Um die Schwellenspannung zu bestimmen, wird der Schnittpunkt der fit-Funktion bei einer Stromstärke von ca. 20 mA mit der x-Achse berechnet. Für die fit-Funktion ist zu beachten, dass nur Messwerte aus dem Bereich berücksichtigt werden, in dem sich die exponentielle Kennlinie nahezu linear verhält.
Berechnung
Die beweglichen Ladungsträger besitzen an der LED die Energie . Bei der Rekombination eines Elektronen-Loch-Paares wird ein Photon mit der Energie frei. Im Idealfall wird die Energie der Ladungsträger dabei komplett an das Photon übertragen. Daraus folgt der Zusammenhang:
Mit den Schwellenspannungen und Frequenzen der einzelnen Dioden und der Elementarladung kann damit das Planck’sche Wirkungsquantum berechnet werden.
| Farbe LED | rot | gelb | grün |
|---|---|---|---|
| Wellenlänge/nm | 632 | 596 | 502 |
| Schwellenspannung/V | 1,46 | 1,44 | 2,12 |
| /Js | 4,93 | 4,57 | 5,67 |
| Prozentualer Fehler | 25,99% | 30,99% | 14,40% |
Mit dem Literaturwert \Js [1]
Fehlerabschätzung
Der experimentell bestimmte Wert weist eine hohe Abweichung vom Literaturwert auf. Fehlerquellen sind die Genauigkeit der jeweiligen Messgeräte. Die größte Rolle bei der Genauigkeit spielt jedoch die Bestimmung der Schwellenspannung – diese ist nicht exakt definiert, besitzt eine gewisse Bandbreite und beeinflusst das Experiment am stärksten. Außerdem besitzt das bei der Rekombination freiwerdende Photon nur im Idealfall die gesamte Energie , sodass kleiner ausfällt. Dennoch liefert das Experiment mit einem einfachen Versuchsaufbau die richtige Größenordnung des Planck’schen Wirkungsquantums.
Mögliche Probleme und ihre Lösungen
Größere Probleme sollten bei diesem Experiment nicht auftreten. Zu beachten ist die Durchlassrichtung der LEDs. Das USB-Spektrometer muss sehr nah an die LED gehalten werden, um klare Messwerte für die Wellenlänge zu erhalten. Hierbei darauf achten, dass die Linse die Diode nicht berührt.
Sicherheitshinweise
Durchlassrichtung und maximale Betriebsspannung/-strom der jeweiligen LED beachten. Vorwiderstand verwenden. Spannungsquelle mit Gleichspannung kleiner 12 V ist ausreichend.
Fotos
Literatur
- ↑ Wikipedia-Eintrag Plancksches Wirkungsquantum, abgerufen am 29. Juni 2021.
Universität Stuttgart, 5. Physikalisches Institut, AG Physik und ihre Didaktik, lizenziert unter CC BY-NC-SA 4.0



